中华护理杂志 ›› 2026, Vol. 61 ›› Issue (5): 590-597.DOI: 10.3761/j.issn.0254-1769.2026.05.002
张笑天1(
), 黄姣2, 郑园华2, 熊宇欣1, 孙鑫1, 李鸿艳1,*(
)
收稿日期:2025-09-12
出版日期:2026-03-10
发布日期:2026-03-05
*通讯作者:
李鸿艳,E-mail:Janet_lhy@163.com作者简介:张笑天:女,本科(硕士在读),E-mail:1303469233@qq.com
基金资助:
ZHANG Xiaotian1(
), HUANG Jiao2, ZHENG Yuanhua2, XIONG Yuxin1, SUN Xin1, LI Hongyan1,*(
)
Received:2025-09-12
Online:2026-03-10
Published:2026-03-05
* Corresponding author:
LI Hongyan,E-mail:Janet_lhy@163.comFunding program:摘要:
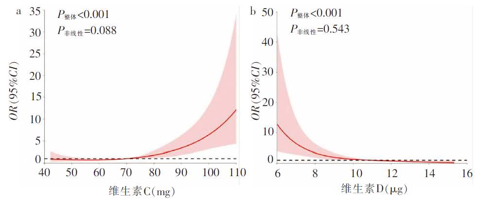
目的 探讨腹膜透析患者膳食摄入与肌少症风险的关系,并分析其剂量-反应关系,为医护人员开展饮食指导提供依据。 方法 采取1 ∶ 2配对病例对照设计,纳入2024年12月至2025年5月于南昌市某三级甲等医院规律随访的腹膜透析患者213例(肌少症组71例,非肌少症组142例)。通过3日24 h回顾法评估膳食,采用限制性立方样条分析剂量-反应关系。 结果 能量摄入量与肌少症风险呈非线性剂量-反应关系(P非线性=0.029)。能量摄入低于1 880 kcal/d(1 kcal=4.184 kJ)时,肌少症风险随饮食摄入增加明显降低,高于此值时保护效应趋于稳定。多因素分析结果显示,蔬菜类(OR=1.034)和维生素C(OR=1.253)过量摄入增加肌少症风险,而薯类(OR=0.868)、水果(OR=0.965)、畜禽肉(OR=0.950)、总维生素A(OR=0.955)、维生素B1(OR=0.991)、维生素D(OR=0.244)、钙(OR=0.998)足量摄入具有保护作用。 结论 腹膜透析患者能量摄入存在1 880 kcal/d的阈值效应,临床营养护理应确保能量摄入达标并优化膳食结构。建议优先增加薯类、水果、畜禽肉等食物摄入,控制蔬菜摄入在300 g/d以内,以避免其对关键营养素摄入的稀释作用。
张笑天, 黄姣, 郑园华, 熊宇欣, 孙鑫, 李鸿艳. 腹膜透析患者饮食与肌少症的相关性研究及护理启示[J]. 中华护理杂志, 2026, 61(5): 590-597.
ZHANG Xiaotian, HUANG Jiao, ZHENG Yuanhua, XIONG Yuxin, SUN Xin, LI Hongyan. Study on the relationship between diet and sarcopenia in patients undergoing peritoneal dialysis and nursing implications[J]. Chinese Journal of Nursing, 2026, 61(5): 590-597.
图1 能量摄入量与腹膜透析患者肌少症发生的剂量反应关系
Figure 1 Dose-response relationship between energy intake and the occurrence of sarcopenia in peritoneal dialysis patients
图2 食物类别摄入量与腹膜透析患者肌少症发生的剂量-反应关系 注:a为薯类摄入量与腹膜透析患者肌少症发生的剂量反应关系。b为蔬菜类摄入量与腹膜透析患者肌少症发生的剂量反应关系。c为畜禽肉摄入量与腹膜透析患者肌少症发生的剂量反应关系。
Figure 2 Dose-response relationship between food category intake and the occurrence of sarcopenia in peritoneal dialysis patients
图3 营养素摄入量与腹膜透析患者肌少症发生的剂量-反应关系 注:a为维生素C摄入量与腹膜透析患者肌少症发生的剂量反应关系。b为维生素D摄入量与腹膜透析患者肌少症发生的剂量反应关系。
Figure 3 Dose-response relationship between nutrient intake and the occurrence of sarcopenia in peritoneal dialysis patients
| [1] |
Duarte MP, Almeida LS, Neri SGR, et al. Prevalence of sarcopenia in patients with chronic kidney disease:a global systematic review and meta-analysis[J]. J Cachexia Sarcopenia Muscle, 2024, 15(2):501-512.
DOI URL |
| [2] | 胡丹丹, 胡锦, 孙惠, 等. 社区老年肌少症患者自我管理干预方案的构建及应用研究[J]. 中华护理教育, 2025, 22(10):1250-1257. |
| Hu DD, Hu J, Sun H, et al. Construction and application of a self-management intervention program for community-dwelling elderly patients with sarcopenia[J]. Chin J Nurs Educ, 2025, 22(10):1250-1257. | |
| [3] | 余姜璇, 单雪琪, 王俊杰, 等. 老年肌少症患者营养管理的最佳证据总结[J]. 中华护理杂志, 2022, 57(18):2261-2268. |
| Yu JX, Shan XQ, Wang JJ, et al. Best evidence summary for nutrition management in elderly patients with sarcopenia[J]. Chin J Nurs, 2022, 57(18):2261-2268. | |
| [4] |
Ganapathy A, Nieves JW. Nutrition and sarcopenia:what do we know?[J]. Nutrients, 2020, 12(6):1755.
DOI URL |
| [5] |
Shaaker H, Davenport A. Assessment of nutritional intake in patients with kidney failure treated by haemodialysis on dialysis and non-dialysis days[J]. J Ren Nutr, 2025, 35(1):172-180.e1.
DOI URL |
| [6] | 王颖, 雷娟, 檀敏, 等. 30例维持性血液透析患者膳食调查[J]. 中国血液净化, 2014, 13(5):413-416. |
| Wang Y, Lei J, Tan M, et al. The dietary investigation of 30 cases of maintenance hemodialysis patients[J]. Chin J Blood Purif, 2014, 13(5):413-416. | |
| [7] |
Morgan PT, Smeuninx B, Breen L. Exploring the impact of obesity on skeletal muscle function in older age[J]. Front Nutr, 2020, 7:569904.
DOI URL |
| [8] |
高雅靖, 单岩, 杜理平, 等. 终末期肾脏病患者肌少症的研究进展[J]. 中华护理杂志, 2019, 54(9):1423-1426.
DOI |
| Gao YJ, Shan Y, Du LP, et al. Advance in research on sarcopenia in patients with end-stage renal disease[J]. Chin J Nurs, 2019, 54(9):1423-1426. | |
| [9] | 徐文琪, 韩慧敏, 郭畔旭, 等. 腹膜透析患者容量管理的最佳证据总结[J]. 中华护理教育, 2025, 22(3):371-378. |
| Xu WQ, Han HM, Guo PX, et al. Best evidence summary for volume management in peritoneal dialysis patients[J]. Chin J Nurs Educ, 2025, 22(3):371-378. | |
| [10] | 张静娟, 薛芃石, 赵白雪, 等. 饮食干预对腹膜透析患者营养状况的影响[J]. 中华护理杂志, 2015, 50(1):62-65. |
| Zhang JJ, Xue PS, Zhao BX, et al. The effect of diet intervention on nutritional status in patients with peritoneal dialysis[J]. Chin J Nurs, 2015, 50(1):62-65. | |
| [11] | 关天俊, 许树根, 梁萌. CAPD患者入院时低钾血症的发生率及其临床意义[J]. 福建医药杂志, 2003, 25(4):11-13. |
| Guan TJ, Xu SG, Liang M. The incidence of hypokalemia associated with CAPD patients on admission and its clinical significance[J]. Fujian Med J, 2003, 25(4):11-13. | |
| [12] |
Beaudart C, Locquet M, Touvier M, et al. Association between dietary nutrient intake and sarcopenia in the SarcoPhAge study[J]. Aging Clin Exp Res, 2019, 31(6):815-824.
DOI PMID |
| [13] | 杨月欣. 中国食物成分表标准版[M]. 6版. 北京: 北京大学医学出版社, 2018. |
| Yang YX. China food composition table-standard edition[M]. 6th ed. Beijing: Peking University Medical Press, 2018. | |
| [14] |
Chen LK, Woo J, Assantachai P, et al. Asian Working Group for Sarcopenia:2019 consensus update on sarcopenia diagnosis and treatment[J]. J Am Med Dir Assoc, 2020, 21(3):300-307.
DOI URL |
| [15] |
Funk DP, Chambrier C, Slim K. Postoperative nutrition in the setting of enhanced recovery programmes[J]. Eur J Surg Oncol, 2024, 50(5):106866.
DOI URL |
| [16] |
Sabatino A, Regolisti G, Karupaiah T, et al. Protein-energy wasting and nutritional supplementation in patients with end-stage renal disease on hemodialysis[J]. Clin Nutr, 2017, 36(3):663-671.
DOI PMID |
| [17] |
Yang S, Dong ZY, Zhao JQ, et al. Association of vitamins B1 and B2 intake with early-onset sarcopenia in the general adult population of the US:a cross-sectional study of NHANES data from 2011 to 2018[J]. Front Nutr, 2024, 11:1369331.
DOI URL |
| [18] |
Wu HHL, McDonnell T, Chinnadurai R. Physiological associations between vitamin B deficiency and diabetic kidney disease[J]. Biomedicines, 2023, 11(4):1153.
DOI URL |
| [19] |
Behrouzi P, Grootswagers P, Keizer PLC, et al. Dietary intakes of vegetable protein,folate,and vitamins B-6 and B-12 are partially correlated with physical functioning of Dutch older adults using copula graphical models[J]. J Nutr, 2020, 150(3):634-643.
DOI PMID |
| [20] |
Bjørnsen T, Salvesen S, Berntsen S, et al. Vitamin C and E supplementation blunts increases in total lean body mass in elderly men after strength training[J]. Scand J Med Sci Sports, 2016, 26(7):755-763.
DOI URL |
| [21] |
Lewis LN, Hayhoe RPG, Mulligan AA, et al. Lower dietary and circulating vitamin C in middle-and older-aged men and women are associated with lower estimated skeletal muscle mass[J]. J Nutr, 2020, 150(10):2789-2798.
DOI PMID |
| [22] | Park CY, Shin S. Low dietary vitamin C intake is associated with low muscle strength among elderly Korean women[J]. Nutr Res, 2024,127:75-83. |
| [23] |
Ely IA, Phillips BE, Smith K, et al. A focus on leucine in the nutritional regulation of human skeletal muscle metabolism in ageing,exercise and unloading states[J]. Clin Nutr, 2023, 42(10):1849-1865.
DOI URL |
| [24] | 林海风, 庞亮亮. 纯乳清蛋白食品在运动员营养规划中的应用:以“第五届食品科学与人类健康国际研讨会”为例[J]. 核农学报, 2024, 38(12):2485-2486. |
| Lin HF, Pang LL. Application of pure whey protein food in athletes’ nutrition planning:taking the fifth international symposium on food science and human health as an example[J]. J Nucl Agric Sci, 2024, 38(12):2485-2486. | |
| [25] |
Jiang JL, Chen G, Li YG, et al. Serum calcium levels and the risk of sarcopenia in young adults:insights from NHANES 2011-2018[J]. Front Nutr, 2025, 12:1526879.
DOI URL |
| [26] |
Yu SX, Ren BQ, Chen HY, et al. 1,25-Dihydroxyvitamin D deficiency induces sarcopenia by inducing skeletal muscle cell senescence[J]. Am J Transl Res, 2021, 13(11):12638-12649.
PMID |
| [27] |
Hwang B, Lim JY, Lee J, et al. Prevalence rate and associated factors of sarcopenic obesity in korean elderly population[J]. J Korean Med Sci, 2012, 27(7):748-755.
DOI PMID |
| [1] | 杨嘉琪, 王怡童, 李洁, 王丽娜. 老年维持性血液透析患者碎片化运动干预方案的构建及初步应用[J]. 中华护理杂志, 2026, 61(5): 581-589. |
| [2] | 庄珊珊, 徐超凡, 施亚凤, 曹越秀, 吕颖. 维持性血液透析患者社会疏离感发展轨迹及其影响因素的研究[J]. 中华护理杂志, 2026, 61(5): 598-604. |
| [3] | 温佳, 郭慧芳, 郭晶晶, 田云霞, 杨玥, 刘波. 维持性血液透析患者社会疏离感的范围综述[J]. 中华护理杂志, 2026, 61(5): 605-611. |
| [4] | 中华护理学会人文护理专业委员会, 中华护理学会急诊护理专业委员会, (执笔:刘义兰, 汪唯, 甘秀妮, 朱陈萍, 杨霞, 熊莉娟, 朱丽辉, 徐翠荣, 郭舒婕, 张洁, 金晓燕, 李君, 李丽, 黄素芳, 王晓洁, 周晨曦, 李映兰. 对急诊科护士的人文关怀策略专家共识[J]. 中华护理杂志, 2026, 61(5): 612-615. |
| [5] | 中国抗癌协会肿瘤康复整合护理专业委员会, (执笔:钟就娣, 王影新, 刘飞, 潜艳, 康璐, 颜红艳, 杨明雪, 廖洋洋, 刘群红. 老年肺癌患者术后分级运动的专家共识[J]. 中华护理杂志, 2026, 61(5): 616-621. |
| [6] | 徐晓静, 尚茜, 李娟, 张培培, 史素玲. 中青年肺癌化疗患者家庭参与式多模态运动干预方案的构建及应用研究[J]. 中华护理杂志, 2026, 61(5): 622-629. |
| [7] | 严满琳, 黄薇融, 张智慧, 李显蓉. 肠造口患者社会疏离感干预方案的构建及初步验证[J]. 中华护理杂志, 2026, 61(5): 630-638. |
| [8] | 刘苗苗, 唐浪娟, 吴利, 高云倩, 梁慧, 晏康容, 谢方婷. 老年糖尿病视网膜病变患者认知衰弱风险预测模型的构建及验证[J]. 中华护理杂志, 2026, 61(5): 639-645. |
| [9] | 刘宁宁, 万玉峰, 田小红, 王英, 刘文君, 高丽莹. 老年慢性阻塞性肺疾病患者稳定期晨间症状的网络分析[J]. 中华护理杂志, 2026, 61(5): 646-652. |
| [10] | 朱金星, 顾招芹, 汤婷, 陈秋圆, 丁宁, 李方. 阻塞性睡眠呼吸暂停综合征患者疾病感知经历的质性研究[J]. 中华护理杂志, 2026, 61(5): 653-659. |
| [11] | 路梦新, 于晓燕, 张胜龙, 马璐, 王子瑜, 丁锦平, 辛婷婷, 张丙良. 肝移植患者不同阶段康复需求的纵向质性研究[J]. 中华护理杂志, 2026, 61(5): 660-666. |
| [12] | 崔一凡, 张明名, 张晓雪, 郑煜琳, 王文爽, 王欣然. 老年腹部大手术患者肌肉状况及影响因素的纵向研究[J]. 中华护理杂志, 2026, 61(5): 667-673. |
| [13] | 叶惠林, 邬小容, 唐维荣, 殷云睿, 李跃荣. 减重代谢手术后患者治疗依从性现状及影响因素分析[J]. 中华护理杂志, 2026, 61(5): 674-681. |
| [14] | 周敏, 王林娟, 黄雀兰, 付勤, 李贾贾, 付坤会, 董琪, 孟令雨. 15所三级医院儿科ICU护士对外周动脉导管管理的知信行现状调查[J]. 中华护理杂志, 2026, 61(5): 682-688. |
| [15] | 王凡, 赵文娟, 曹佳伟, 陆箴琦. 肝癌患者介入治疗术后穿刺处出血并发症预测模型的构建及验证[J]. 中华护理杂志, 2026, 61(5): 689-696. |
| 阅读次数 | ||||||
|
全文 |
|
|||||
|
摘要 |
|
|||||